
Answer


[3,3]-Sigmatropic Rearrangement: Claisen-Type Reaction
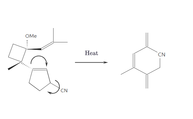
Introduction to Sigmatropic Rearrangement
This reaction features a [3,3]-sigmatropic rearrangement, which is a concerted pericyclic process. It involves a σ-bond migrating adjacent to a π-system, as seen in Claisen rearrangements. The molecule contains an allyl vinyl ether system within a bicyclic structure, substituted with a methoxy (–OMe) and cyano (–CN) group.
Functional Motif
The structure contains a vinyl ether group with:
- A methoxy group attached to an allylic carbon.
- An sp²-hybridized acceptor carbon within a cyclopentadiene ring.
Mechanistic Steps
The rearrangement proceeds through a six-membered cyclic transition state with:
- Cleavage of the original C–O bond.
- Migration of the π-bond in the allyl system.
- Formation of a new C–C bond between the terminal allylic carbon and the electrophilic carbon of the ring.
This reaction is concerted, stereospecific, and pericyclic, occurring in a single step without intermediates.
Product Formation
The result of the rearrangement includes:
- A new C–C bond in the ring system.
- Formation of a carbonyl group (C=O) where the methoxy group was initially located.
- Retention of the cyano group (–CN) in its original position.
This leads to the formation of a γ,δ-unsaturated ketone, characteristic of Claisen rearrangement products.
Reaction Summary
The reaction is a typical hetero-Claisen rearrangement, involving:
- A [3,3]-sigmatropic shift.
- Six-membered transition state dynamics.
- Simultaneous formation of a ketone and reorganization of the molecular framework.
Conclusion
This [3,3]-sigmatropic rearrangement exemplifies a powerful synthetic route. The thermally-induced reaction forms a γ,δ-unsaturated carbonyl compound from an allyl vinyl ether embedded in a bicyclic system. It is concerted, stereospecific, and offers great utility in organic synthesis for building complex frameworks and functionalizing allylic ethers.
