
Answer



Electron Reorganization: Cyclohexene and HBr Reaction
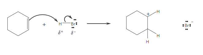
This page explains the electron movement (using curved arrows) in the electrophilic addition reaction between cyclohexene and hydrogen bromide (HBr), a key mechanism in organic chemistry.
Step 1: Understanding the Reaction
The reaction involves cyclohexene reacting with HBr. The double bond in cyclohexene acts as a nucleophile due to its electron-rich π-bond. The HBr provides an electrophilic hydrogen (H⁺) and a nucleophilic bromide (Br⁻).
Step 2: Electrophilic Attack
The π-electrons from the double bond attack the hydrogen atom (H⁺) in HBr, forming a new C–H bond. As a result, the double bond is broken and a positively charged carbon (carbocation) is formed on the adjacent carbon atom.
Step 3: Formation of the Carbocation Intermediate
As H⁺ attaches to one carbon, the electrons in the H–Br bond shift to Br, generating Br⁻. The more substituted carbon forms the carbocation according to Markovnikov’s Rule.
Step 4: Nucleophilic Attack by Br⁻
The bromide ion (Br⁻) attacks the carbocation, resulting in the final alkyl bromide product. This completes the electrophilic addition mechanism.
Key Concepts
- π-bond acts as a nucleophile
- H⁺ is the electrophile from HBr
- Formation of a stable carbocation intermediate
- Follows Markovnikov’s Rule
- Final nucleophilic attack by Br⁻
Curved arrows represent:
1. π-electrons attacking H⁺ of HBr
2. Electron shift in H–Br bond to form Br⁻
3. Br⁻ attacking the carbocation to form the final product
