
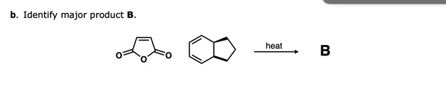
Answer

Diels–Alder Reaction: Formation of endo-Norbornene-2,3-dicarboxylic anhydride
Reaction Type
Diels–Alder Cycloaddition Reaction – a [4+2] pericyclic reaction.
Reactants Involved
- Diene: Cyclopentadiene (4 π-electrons)
- Dienophile: Maleic anhydride (2 π-electrons and carbonyl groups)
Reaction Conditions
Heat is applied to initiate the Diels–Alder reaction.
Electron Count and Orbital Interactions
- Total π-electrons: 6 (4 from diene + 2 from dienophile)
- Fulfills Hückel’s rule for aromatic transition states
- Interaction of HOMO of diene and LUMO of dienophile leads to bond formation
Mechanism and Product Formation
The reaction proceeds via a concerted mechanism forming a bicyclic structure with a six-membered ring. Carbonyl groups enhance reactivity and transition state stabilization, leading to selective formation of the endo product.
Endo vs Exo Product
Although both endo and exo products are possible, the endo product is favored due to secondary orbital interactions which stabilize the transition state more effectively.
Major Product Formed
endo-Norbornene-2,3-dicarboxylic anhydride
This compound contains a bicyclo[2.2.1]hept-5-ene ring system with an anhydride group.
Conclusion
The Diels–Alder reaction between cyclopentadiene and maleic anhydride under heat results in the formation of endo-Norbornene-2,3-dicarboxylic anhydride as the major product. The stereoselectivity is driven by orbital interactions and the reactivity of the electron-deficient dienophile.
