A student proposes this reaction as part of a synthesis:Does this happen? If so, draw the complete mechanism below. If this transformation do

Answer

Aldol Reaction Mechanism | Organic Chemistry Explained

⚗️ Aldol Reaction – Detailed Mechanism & Explanation

🔹 Step 1: Reaction Overview

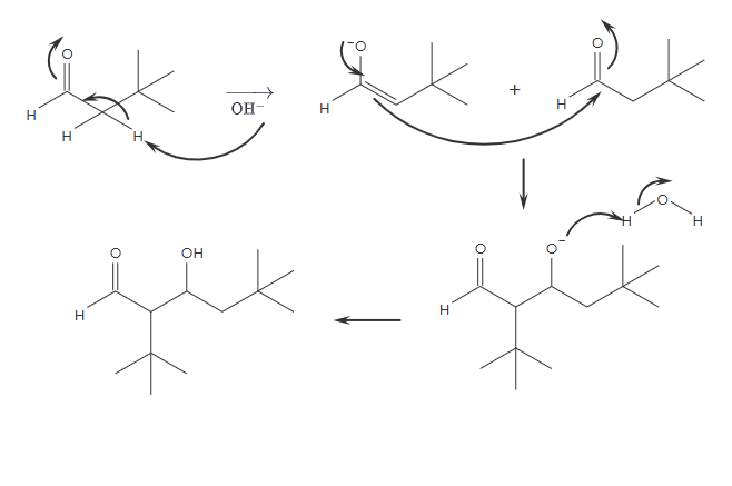
The proposed reaction is a classic base-catalyzed aldol reaction—a fundamental method in organic chemistry for forming carbon–carbon bonds between aldehydes or ketones that have at least one α-hydrogen.

🔬 Step 2: Mechanistic Explanation

Step 1: Enolate Ion Formation
Base (OH⁻) abstracts an α-hydrogen forming a resonance-stabilized enolate ion.
R-CH₂-CO-R’ ⟶ R-CH⁻-CO-R’ ↔ R-CH=C(O⁻)-R’
Step 2: Nucleophilic Addition
The enolate ion attacks another molecule of the carbonyl compound forming an alkoxide intermediate.
Enolate + R’-CO-R ⟶ Alkoxide
Step 3: Protonation
Alkoxide is protonated (typically by water) to form the final β-hydroxy carbonyl product.
Alkoxide + H₂O ⟶ β-Hydroxy aldehyde/ketone

📌 Key Takeaways

Aspect Details
Reaction Type Aldol Reaction (Base-Catalyzed)
Reagents Aldehyde or ketone with α-hydrogen + Base (e.g., NaOH)
Key Intermediate Enolate Ion
Product β-Hydroxy aldehyde or β-Hydroxy ketone
Bond Formed C–C between α-carbon and carbonyl carbon
Final Answer:
✅ The reaction proceeds via the base-catalyzed aldol mechanism, forming a β-hydroxy carbonyl product through enolate formation and nucleophilic attack.

🧠 Conclusion

The aldol reaction is a powerful method for building complex molecules by forming new C–C bonds. It is frequently used in the synthesis of natural products and pharmaceuticals, showcasing the principles of enolate chemistry and regioselective carbonyl addition.

Add a Comment

Your email address will not be published. Required fields are marked *