
Answer



🔬 Fischer Indole Synthesis Reaction
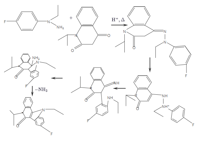
🧪 Step 1: Reaction Overview
The given reaction is an example of the Fischer Indole Synthesis, a key organic transformation used to create substituted indoles from phenylhydrazine derivatives and aldehydes or ketones.
Major Product: Substituted Indole (Product A)
📖 Reaction Explanation
This synthesis is carried out under acidic conditions and is instrumental in constructing the indole ring system, which is central to many biologically active compounds.
- Phenylhydrazine reacts with aldehyde or ketone
- Forms an intermediate arylhydrazone
- Undergoes intramolecular cyclization
- Releases ammonia (NH₃)
- Forms the final indole structure
⚙️ Step 2: Mechanism Summary
Phenylhydrazine condenses with the carbonyl compound to form an arylhydrazone intermediate.
Acid catalyzes cyclization followed by a [3,3]-sigmatropic rearrangement forming the indole ring.
Final loss of NH₃ completes the synthesis, yielding a substituted indole.
✅ Final Answer
The reaction is classified as Fischer Indole Synthesis. The major product “A” is a substituted indole compound.
🧠 Conclusion
Fischer Indole Synthesis remains a foundational transformation in heterocyclic chemistry. Its versatility allows for the formation of indole frameworks under mild conditions, making it invaluable in the development of pharmaceuticals, agrochemicals, and natural products.
