Draw a structural formula for the more stable carbocation intermediate formed in the reaction shown. – You do not have to consider

Draw a structural formula for the more stable carbocation intermediate formed in the reaction shown. – You do not have to consider stereochemistry. – Do not include anionic counter-ions, e.g., I’, in your answer. – For cases in which carbocations of the same or similar stability are expected, draw all of the structures. – Draw one structure per sketcher. Add additional sketchers using the drop-down menu in the bottom right corner. – Separate structures with + signs from the drop-down menu.

Answer

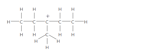
More Stable Carbocation Intermediate in Alkene Reaction

Formation of the More Stable Carbocation Intermediate

Reaction Type

This is an electrophilic addition reaction, specifically a hydrohalogenation of an alkene using HCl as the reagent.

Mechanism Breakdown

  • Step 1 – Electrophilic Attack: The π-electrons of the alkene attack a proton (H⁺) from HCl, creating a carbocation intermediate.
  • Step 2 – Regioselectivity (Markovnikov’s Rule): The H⁺ attaches to the less substituted carbon of the double bond, leading to a more stable carbocation on the more substituted carbon.
  • Step 3 – Carbocation Stability: The intermediate formed is a tertiary carbocation, which is stabilized by inductive effects and hyperconjugation.

Order of Carbocation Stability

Tertiary (3°) > Secondary (2°) > Primary (1°) > Methyl

Final Explanation

According to Markovnikov’s rule, the proton adds to the carbon with more hydrogen atoms, allowing the more substituted carbon to become a tertiary carbocation.

This carbocation is highly stable and represents the major intermediate of the reaction. The chloride ion (Cl⁻) will later neutralize the positive charge, but our focus is only on the intermediate stage.

Final Structure

The stable intermediate is a tertiary carbocation where the central carbon carries a positive charge and is bonded to:

  • Two ethyl groups (–CH₂CH₃)
  • One methyl group (–CH₃)
  • No lone pairs, with an empty p-orbital

Add a Comment

Your email address will not be published. Required fields are marked *