Answer
E2 Elimination Product Explanation
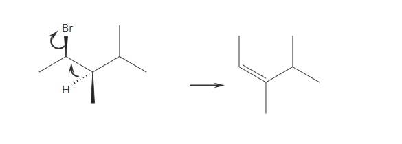
Step 1: Structural Analysis
The bromine (Br) atom is on a wedge, meaning it projects out of the plane. On the same carbon:
- A methyl group points into the plane (dashed)
- An implied hydrogen (H) points down, opposite Br
The adjacent carbon has:
- A methyl group on a wedge (out of plane)
- A hydrogen on a dash (into the plane)
- An isopropyl group in the plane
Important: For E2 elimination to proceed, the leaving group (Br) and the β-hydrogen must be anti-periplanar—that is, on opposite sides of the same plane.
Step 2: Predicting the Product
The anti-periplanar condition is satisfied between:
- The Br (on a wedge), and
- The hydrogen (on a dash) on the β-carbon
This leads to the formation of a double bond between the two carbons involved in elimination.
The methyl and isopropyl groups that were in the same plane in the starting material remain cis to each other in the final alkene product.
✅ Correct Answer: Option C
Matches the required anti-periplanar geometry and correct double bond placement.
Matches the required anti-periplanar geometry and correct double bond placement.
Step 3: Why Other Options Are Incorrect
Option A: Although more substituted, it violates the anti-periplanar requirement based on the stereochemistry.
Option B: Incorrect substitution pattern – does not match the structure of the reactant.
Option D: Contains an extra carbon not present in the reactant molecule.
Conclusion
The E2 mechanism strictly requires anti-periplanar geometry. Option C fulfills this condition and gives the expected alkene product. The stereochemical orientation in the starting structure directly influences which product is major.