Draw possible resonance structures for the molecules

Answer

Resonance Structures Explanation

Understanding Resonance Structures

What is Resonance?

Resonance is a concept in chemistry where a molecule cannot be represented by a single Lewis structure. Instead, it is described by two or more contributing structures (resonance forms) that differ only in the placement of electrons. The actual structure is a hybrid of all valid resonance forms.

Rules for Drawing Resonance Structures

  • Only electrons move; atom positions remain the same.
  • Conserve the total number of electrons and overall charge.
  • Octet rule should be respected for second-row elements.
  • Place negative charges on more electronegative atoms, positive charges on less electronegative atoms.

Step-by-Step: Drawing Resonance Structures

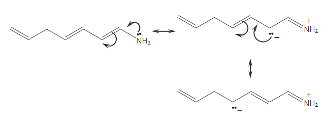
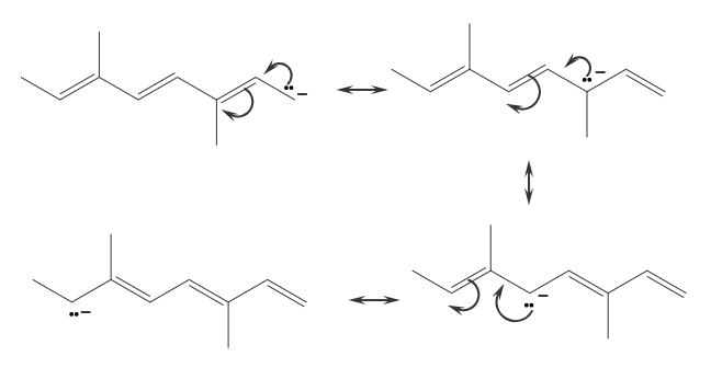
Structure 1: Base Form

Start with the molecule in its most neutral form. Lone pairs on heteroatoms like nitrogen may initiate delocalization.

Structure 2: Lone Pair Delocalization

A lone pair on nitrogen forms a double bond with an adjacent carbon. The adjacent π bond shifts, creating a new location for the electron density. A formal charge appears on the nitrogen (+) and possibly a negative charge at the end of the conjugation path.

Structure 3 and Beyond

The newly formed carbanion (with a lone pair) can push electrons further along the π-system, continuing the delocalization process. This may lead to a series of resonance structures that shift the negative charge through the molecule.

Note: All resonance structures must represent the same total number of electrons and the same arrangement of atoms.

Resonance Summary Table

Feature Impact on Resonance
Lone pairs on N or O Initiate delocalization
Conjugated π-bonds Enable continuous electron flow
Charge separation Must be minimized and follow electronegativity rules
Total electrons Must remain the same in all structures

Conclusion

Resonance structures help explain the stability and reactivity of many organic molecules. Drawing valid resonance forms requires careful movement of electrons using curved arrows and respecting fundamental chemical principles such as the octet rule and proper charge placement.

Add a Comment

Your email address will not be published. Required fields are marked *