Answer
🔬 Acid-Catalyzed Hydrolysis of Benzonitrile
🧪 Overall Reaction
C₆H₅–C≡N → C₆H₅–COOH (in H₃O⁺ / H₂O)
🔬 Mechanistic Steps
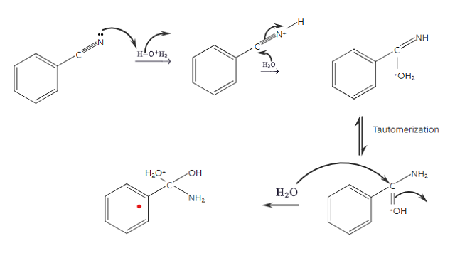
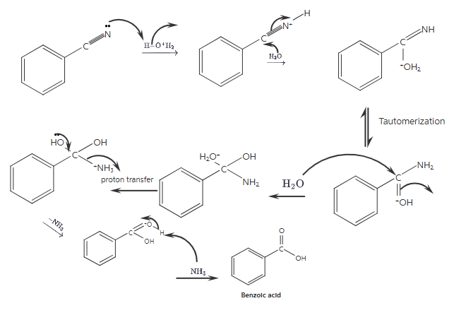
1. Protonation of the Nitrile Group
The lone pair on the nitrogen accepts a proton (H⁺), increasing the electrophilicity of the carbon in the nitrile group.
C₆H₅–C≡N + H⁺ → C₆H₅–C≡N⁺H
2. Nucleophilic Attack by Water
Water attacks the electrophilic carbon, resulting in a protonated imidic intermediate.
C₆H₅–C(OH)=NH⁺ → C₆H₅–C(OH)(NH₂)
3. Tautomerization to Amide
Proton transfer within the intermediate converts the imidic acid to a more stable amide.
C₆H₅–C(OH)=NH⁺ → C₆H₅–CONH₂
4. Protonation of the Amide Oxygen
The carbonyl oxygen is protonated to make the carbon more electrophilic for further attack.
5. Nucleophilic Attack by Water
Another water molecule attacks the protonated carbonyl carbon, forming a tetrahedral intermediate.
6. Elimination of Ammonia
The intermediate collapses, ejecting NH₃ and forming a protonated carboxylic acid.
7. Deprotonation
Loss of a proton yields the final product: benzoic acid.
C₆H₅–COOH
✅ Final Product
Benzonitrile → Benzoic Acid
🧠 Summary
- The reaction proceeds through protonation, nucleophilic addition, tautomerization, and elimination steps.
- The key intermediate is a stable amide before further hydrolysis to the acid.
- This is a classic acid-catalyzed mechanism converting a nitrile (–CN) to a carboxylic acid (–COOH).