Answer
Answer
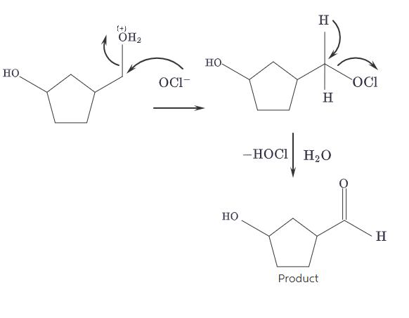
Oxidation of 3-(Hydroxymethyl)cyclopentanol
Reaction Overview
The starting compound, 3-(hydroxymethyl)cyclopentanol, contains both a primary alcohol
(–CH₂OH) and a secondary alcohol attached to a cyclopentane ring.
Reagents and Conditions
- Oxidizing Agent: Sodium hypochlorite (NaOCl)
- Acid: Acetic acid (AcOH)
- Temperature: 0°C (cold conditions)
Chemical Principle
NaOCl in AcOH at 0°C acts as a mild oxidizing agent. Under these conditions:
- Primary alcohols are oxidized to aldehydes
- Secondary alcohols remain largely unreacted
Mechanism Summary
- Protonation of the alcohol by AcOH
- Formation of hypochlorous acid (HOCl)
- Oxidation of the
–CH₂OHgroup to an aldehyde–CHO - Secondary hydroxyl group remains unchanged
Major Product
3-hydroxycyclopentane carbaldehyde
This product retains the hydroxyl group on the ring and replaces the hydroxymethyl side chain with an aldehyde group.
Conclusion
The selective oxidation of 3-(hydroxymethyl)cyclopentanol using NaOCl and AcOH at low temperature leads to 3-hydroxycyclopentane carbaldehyde. This transformation is highly useful in synthesis when controlled oxidation is desired.