Match the reagent needed to accomplish the following transformations

Answer

Alkene Reaction Reagent Matching

🧪 Reagent Matching for Alkene Transformations

Objective

To identify the correct reagents needed to accomplish specific alkene transformations based on their mechanisms and regioselectivity.

Overview

Alkenes undergo several types of addition reactions which can differ based on:

  • Regioselectivity: Markovnikov vs. anti-Markovnikov addition
  • Stereochemistry: Syn- vs. anti-addition
  • Reaction Intermediates: Carbocations, halonium ions, or cyclic intermediates

Reactions and Their Reagents

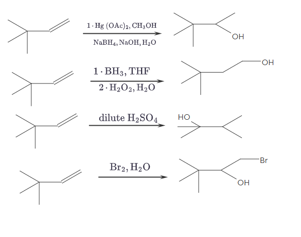
1. Oxymercuration-Demercuration

  • Purpose: Markovnikov addition of OH
  • Reagents: Hg(OAc)â‚‚, Hâ‚‚O / NaBHâ‚„
  • Intermediate: Mercurinium ion (no rearrangement)
  • Result: OH on more substituted carbon, anti-addition

2. Hydroboration-Oxidation

  • Purpose: Anti-Markovnikov addition of OH
  • Reagents: BH₃·THF / Hâ‚‚Oâ‚‚, NaOH
  • Intermediate: Borane complex
  • Result: OH on less substituted carbon, syn-addition

3. Acid-Catalyzed Hydration

  • Purpose: Markovnikov addition of OH
  • Reagents: Hâ‚‚O / Hâ‚‚SOâ‚„
  • Intermediate: Carbocation (rearrangement possible)
  • Result: OH on more substituted carbon

4. Halohydrin Formation

  • Purpose: Addition of OH and halogen (e.g., Br)
  • Reagents: Brâ‚‚ / Hâ‚‚O
  • Intermediate: Bromonium ion
  • Result: OH on more substituted carbon, anti-addition

Summary Table

Transformation Regioselectivity Stereochemistry Reagents
Oxymercuration-Demercuration Markovnikov Anti Hg(OAc)â‚‚, Hâ‚‚O / NaBHâ‚„
Hydroboration-Oxidation Anti-Markovnikov Syn BH₃·THF / H₂O₂, NaOH
Acid-Catalyzed Hydration Markovnikov Not stereoselective Hâ‚‚O / Hâ‚‚SOâ‚„
Halohydrin Formation Markovnikov (OH) Anti Brâ‚‚ / Hâ‚‚O

Conclusion

Correct identification of reagents depends on understanding both the regiochemical outcome (Markovnikov vs. anti-Markovnikov) and the reaction mechanism. This knowledge is fundamental for designing efficient and selective alkene transformations in organic synthesis.

Add a Comment

Your email address will not be published. Required fields are marked *